2022广东普通专升本哪些专业考市场营销学
2022年广东普通专升本考试科目共设4门,分别为2门公共课、1门专业基础课、1门专业综合课。今天库课小编要给大家分享的是统招专业综合课考《市场营销学》的专升本专业及对应招生院校,考生们可以参考。

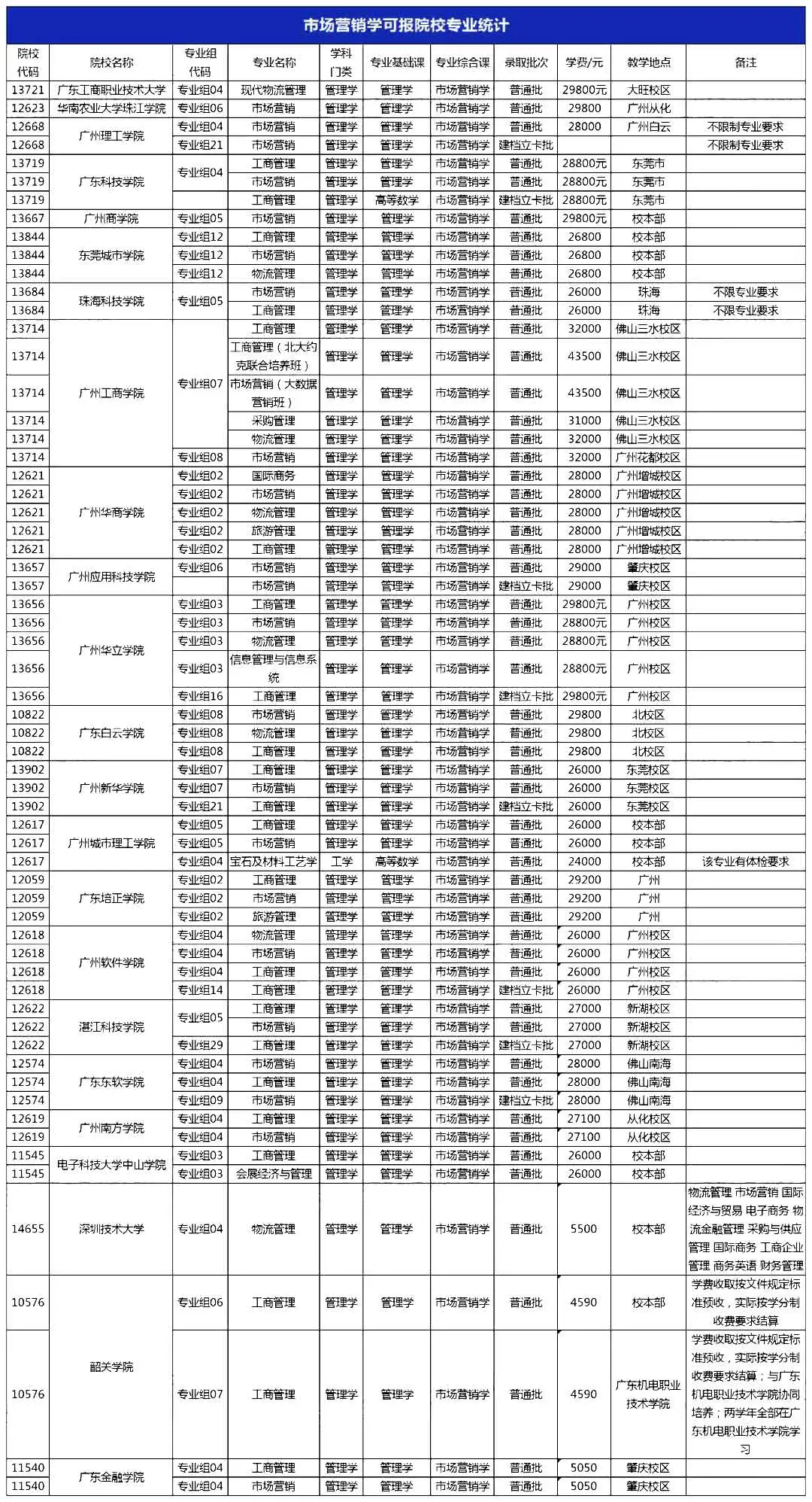
由上图可知:现代物流管理、市场营销、工商管理、国际商务、旅游管理、物流管理、信息管理与信息系统、宝石及材料工艺学、会展经济与管理、专业专升本专业综合课需要考《市场营销学》,实行省统一命题考试。
专业综合课分省统一命题和院校自行命题两种。部分专业的专业综合课实行省统一命题考试,其他省级统考没有覆盖的专业,招生院校可选择用相近的省统考专业综合课替代,也可自行组织命题。招生院校自行组织命题的专业综合课在省招生办规定的统一时间举行考试,考试时间安排在省统考科目后。
普通专升本招生考试时间为2022年3月26日(星期六)至27日(星期日)两天。
以上就是库课小编整理的全部资讯和内容,希望可以帮助到考生。库课网校APP有针对2022广东专升本的网课,每个课程前五节可以免费试听,有需要的考生可以到APP了解。
相关推荐
最新更新
- 2026年广东普通专升本(专插本)经济学类专业公共课考什么?
- 2026年广东普通专升本(专插本)法学类专业公共课考什么?
- 2026年广东普通专升本(专插本)教育学类专业公共课考什么?
- 2026年广东普通专升本(专插本)文学类专业公共课考什么?
- 广东普通专升本(专插本)(普通专升本(专插本))公共课和专业课分别是多少分值呢?
- 2026广东普通专升本(专插本)公共课可以考日语吗
- 2026广东普通专升本(专插本)教育学专业统考科目有哪些
- 广东普通专升本(专插本)英语难度怎么样?与四级英语比呢
- 2026年广东普通专升本(专插本)小学教育考什么科目
- 2026年广东普通专升本(专插本)考试专业基础课都有哪些

专升本院校
考试大纲
招生政策
招生计划
分数线
报考条件
专升本问答
考试科目
考试时间
准考证
成绩查询
志愿填报
网站首页



